Review: Physics Reference
Score:
40%
Physics is everywhere, whether you realise it or not. Everything we do involves it, and our environment is determined by it. Yes, Physics is a rather important part of life. As such, today's review is of Physics Reference, a pocket guide to life, the universe, and everything, or is it? Read on to find out.
Version Reviewed: 1.0
Physics Reference is one of several academic guides from Quizmine. The overall design of the application is very simplistic. Once the application loads, you are presented with a list of eighteen categories in Physics. The range is wide enough to cover all of the fundamentals.

Physics Reference's topic list
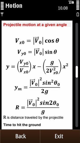
Each category presents you with scrollable pages, which appear to just be embedded images. On first impressions, this seems a rather paltry way to present the content. Dropping a set of images into a skeleton application would make it easy for the developers to port Physics Reference between platforms; as indeed they have. It also might be a form of weak copy-protection.
Whatever the reason, it makes Physics Reference appear as something of a 'minimal effort' application. Another consequence of using images is that nothing is searchable, nor can you add any annotation, notes, or even bookmarks.

Here are some equations that every fan of Angry Birds should be familiar with!
The actual content of each section manages to hit a fine balance. It certainly is not as verbose as a text book, but does manage to provide more context than a simple formula sheet. Speaking of which, I was pleased to see sections containing: lists of physical constants, dimensional analysis, and three “Formula packs”. Having such data in a tabulated form is very handy for a quick look up.

Physical constants and dimensional analysis in Physics Reference.
Note that because the content comes in the form of embedded images,
it isn't possible to copy and paste those numbers into the Calculator app!
Thinking about the subject matter, breadth of topics and (lack of) depth of explanations, I was left wondering 'who is this made for'? Of course, someone studying Physics, I'd say up to A-Level, or even first year degree level, could find this a handy aid mémoire. The explanations given in Physics Reference are only deep enough to be meaningful if you have already studied the subject. Therefore it cannot be anything more than a memory aid. The 'text' in Physics Reference is not enough to give the reader any sort of deep understanding, and so cannot replace a text book, for serious study.
Physics Reference could be enough to satiate the curiosity of the mildly questioning mind, or at least act as a jumping off point for further study. I have to stress though, Physics Reference is a QUICK reference guide. If you want to have a full understanding of any given topic, without referring to a dead-tree source, you'd be better starting with Wikipedia.
Physics Reference is available in the Ovi Store for £1.00, but is difficult to recommend when Wikipedia is available online for free, via a browser.
David Gilson for All About Symbian, 20th April 2011.
Reviewed by David Gilson at
